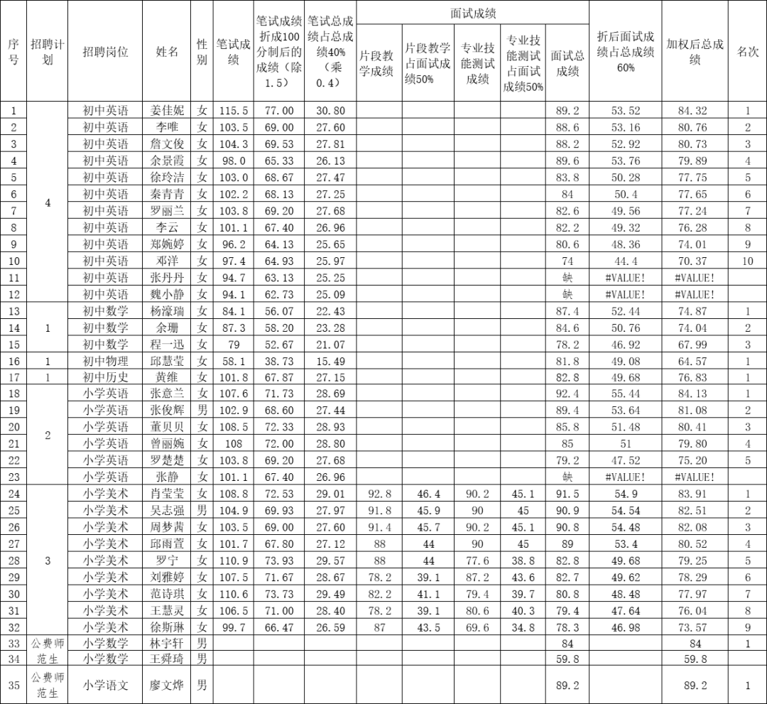
三元區2024年中小學公開招聘新任教師總成績名單
根據《三明市公務員局關于印發<三明市事業單位公開招聘工作人員暫行辦法>》(明人發〔2012〕33號)、《三明市人力資源和社會保障局〈關于核準三元區等縣(區)2024年中小學幼兒園新任教師公開招聘計劃〉的通知》(明人社〔2024〕26號)、中共三元區委組織部 三元區人力資源和社會保障局《關于確定<三元區2024年人才引進和招聘緊缺急需專業目錄>的通知》(元人社〔2023〕152號)、《三元區2024年中小學公開招聘新任教師通告》(元教人〔2024〕22號)、《三元區2024年中小學公開招聘新任教師入圍面試人員名單公示》(元教人〔2024〕84號)和《三元區2024年中小學公開招聘新任教師(公費師范生)面試公告》(元教人〔2024〕86號)等文件精神,現將三元區2024年中小學公開招聘新任教師總成績(名單附后)予以公告。
如有異議的,可與三元區教育局人事股聯系,聯系電話:0598-7991700。
公告時間:2024年5月28日-6月3日。

三元區教育局
2024年5月28日
來源:聚焦三明20240528 15:49
關于取消三元區2024年中小學公開招聘新任教師小學美術崗位面試成績的公告
元教人〔2024〕123號
根據《三元區2024年中小學公開招聘新任教師(公費師范生)面試公告》(元教人〔2024〕86號)文件中“考生違反考場紀律的,取消面試資格。以虛報、隱瞞或偽造、涂改有關材料及其他手段取得考試資格和面試成績的,考試結果無效”之規定。因小學美術教師崗位面試出現個別評委未執行回避制度,經研究,決定取消2024年5月25日組織的三元區2024年中小學公開招聘新任教師小學美術崗位面試成績。現給予公告。
三元區教育局 三元區人力資源和社會保障局
中共三元區委機構編制委員會辦公室
2024年7月19日
來源:三元區人民政府20240719 16:50
三元區2024年中小學公開招聘新任教師小學美術總成績公告
元教人〔2024〕128號
根據《三明市公務員局關于印發<三明市事業單位公開招聘工作人員暫行辦法>》(明人發〔2012〕33號)、《三明市人力資源和社會保障局〈關于核準三元區等縣(區)2024年中小學幼兒園新任教師公開招聘計劃〉的通知》(明人社〔2024〕26號)、中共三元區委組織部 三元區人力資源和社會保障局《關于確定<三元區2024年人才引進和招聘緊缺急需專業目錄>的通知》(元人社〔2023〕152號)、《三元區2024年中小學公開招聘新任教師通告》(元教人〔2024〕22號)、《三元區2024年中小學公開招聘新任教師入圍面試人員名單公示》(元教人〔2024〕84號)、《三元區2024年中小學公開招聘新任教師(公費師范生)面試公告》(元教人〔2024〕86號)和《關于三元區2024年中小學公開招聘新任教師小學美術崗位面試的公告》(元教人〔2024〕125號)等文件精神,現將三元區2024年中小學公開招聘新任教師小學美術總成績(名單附后)予以公告。
如有異議的,可與三元區教育局人事股聯系,聯系電話:0598-7991700。
公告時間:2024年7月31日-8月6日。
附件:三元區2024年中小學公開招聘新任教師小學美術總成績名單。

三元區教育局
2024年7月31日
來源:三元區人民政府20240731
8月1日,福建三明多名考生反映,2024年三元區教育局組織小學美術教師招聘考試,4名考生曾被面試主評委陳某某收費培訓。招聘考試的首次面試未全程錄音錄像。
三元區教育局人員稱,陳某某行為違規,考生舉報后,第一次面試成績被取消,并進行二次面試。
有考生稱,參培考生仍可參加二次面試,且總成績前三均為參培考生。
三元區教育局人員回應,二次面試是外請評委,全體考生可參加,總成績前三名目前已公示等體檢。
新京報20250804 17:55
